taptap点点体育(股份)有限公司-官方网站
教师登录
中文
English
首页
学院概况
学院简介
管理团队
组织结构
联系方式
师资力量
学术委员会
教学指导委员会
教授
副教授
青年教师
兼职高层次人才
师资一览表
新闻资讯
新闻动态
学术公告
通知公告
MBA教育
国际教育
特色项目
EDP中心
新闻资讯
新闻动态
学术公告
通知公告
MBA教育
国际教育
特色项目
EDP中心
MBA教育
当前位置:
首页
>
新闻资讯
>
MBA教育
> Content
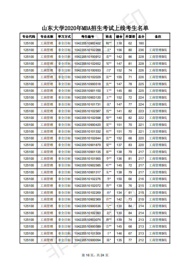
山东大学2020年MBA招生考试上线名单
编辑:于范
发布时间:2020-04-17
附件【
山东大学2020年MBA招生考试上线考生名单.pdf
】已下载
次
友情链接
版权所有 © taptap点点体育(股份)有限公司-官方网站 地址:山东省青岛市即墨区滨海路72号 邮编:266237 办公电话:0532-58631828 0532-58631815